-
脫氫異雄酮
結構式 物競編號 0160 分子式 c19h28o2 分子量 288.42 標簽 脫氫表雄甾酮, 去氫表雄酮, (3β)-3-羥基-5-烯-17-甾酮, 3β-羥基 ... -
1-甲基-4-(2-甲基環氧乙烷基)-7-氧雜雙環[4.1.0]庚烷
結構式 物競編號 02ac 分子式 c10h16o2 分子量 168.24 標簽 二氧化萜二烯, 二氧化二戊烯, 1,2:8,9-雙環氧苧烯, 1,2:8,9-di ... -
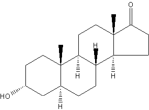
雄烯二酮
結構式 物競編號 015z 分子式 c19h30o2 分子量 290.44 標簽 雄酮, 雄甾酮, 3α-羥基-5α-雄甾烷-17-酮, 5α-雄烷-3α-醇-17 ... -
氧甲氫龍
結構式 物競編號 015y 分子式 c19h30o3 分子量 306.44 標簽 (4as,4bs,6as,7r,9as,9br,11as)-7-羥基-4a,6a,7-三甲基-十四氫茚并[4,5-h]異色烯-2(1h)-酮, (4as,4bs,6as,7r,9 ...



![1-甲基-4-(2-甲基環氧乙烷基)-7-氧雜雙環[4.1.0]庚烷](http://www.szhxmjwj.com.cn/wp-content/uploads/2024/06/3c9ff27de699444f904f4d7011a9e99b.gif)

